Category Modeling
Uncertainty quantification and exascale computing in climate science
I was asked to sit on a discussion panel at this meeting on uncertainty quantification (UQ) with exascale computing. I prepared a short statement (below) on future challenges for UQ at exascale, but I would have made a slightly a longer one (below that) if there was time. A great resource for thinking about the […]
Visualising input spaces using emulators
In a previous post, I looked at some of the ways we could visualise the input space of climate models, when they are constrained to produce behaviour that looks something like the real world. I used parallel co-ordinates plots and pairs plots to visualise the high (32) dimensional input space of the JULES land surface […]
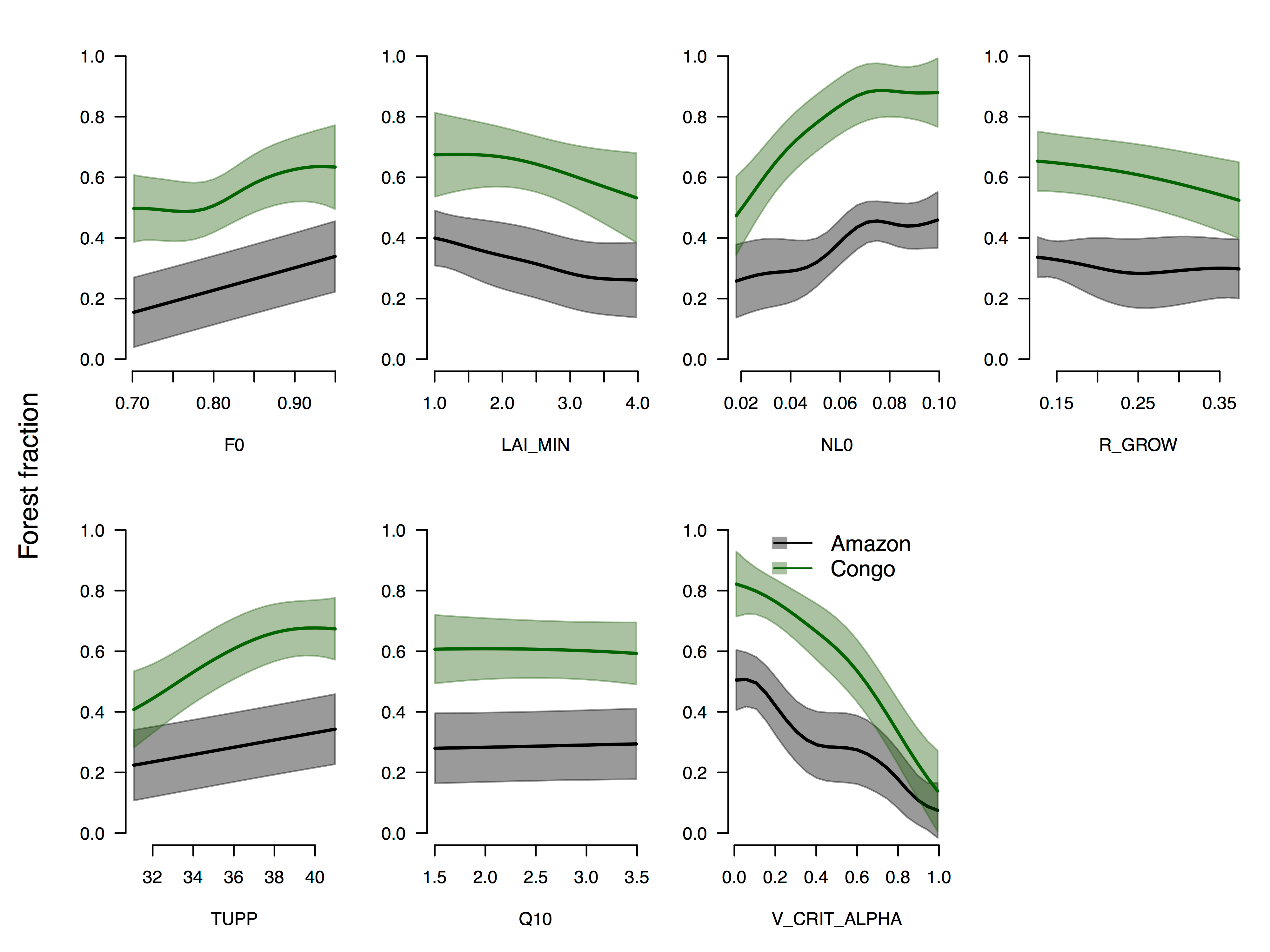
Sensitivity analysis with R
After last week’s post, I thought it might be useful to have some practical examples of how to do sensitivity analysis (SA) of complex models (like climate models) with an emulator. SA is one of those things that everyone wants to do at some point, and I’ll be able to point people here for code […]
A brief comment on timing
In a comment on Mora et al. (2013), we highlight some errors the authors make in calculating and expressing the uncertainty in the timing of “climate departure” – the time at which a particular place on Earth will see a climate unprecedented in the historical record. There is a reply by the authors of the […]
On the value of observations
I’m pretty happy that our paper on finding the potential value of observations for constraining climate models, was published today in Geoscientific Model Development. I posted about the discussion paper here, and you can download a presentation describing the work here. The paper demonstrates a method for working out how useful a new observation might […]
Workshop on stats in process modelling
I’ve been at a great workshop on statistical methods for process models (mostly of the Earth system), set up by Lindsay Lee, from Leeds. It was set up as an opportunity for modellers of many stripes to hear about some of the latest statistical techniques being applied to a range of domains, and I think […]
When will the summer Arctic be nearly ice free?
This is a nice short and pleasingly informal summary of the latest work on predictions of loss of summer sea ice in the Arctic, published in GRL. The paper is perhaps more useful as an up-to-date literature review than an analysis paper, which is perhaps a kinder way of saying what Stoat says. The paper […]
